Attached is an approximation of a graph I found on a website (www.lammertbies.n1/electronics/PI_metal_detector.html).
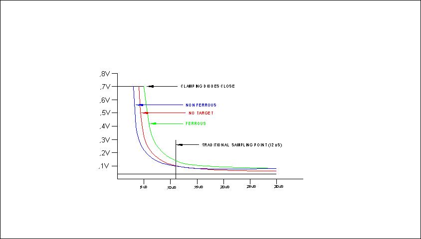
What got my attention was his statement that non ferrous metals speed up the decay curve while ferrous metals slow it down. According to the graph, non ferrous targets drop out below somewhere around 12 uS. I don't know how true this is but I remember reading in Reg Sniff's article on PI theory that under certain conditions gold targets can go negative signal compared to the "no target" basecurve.
Every PI design I've studied so far has sampling pulses based on the timeline, and getting a good sample below approx 10uS gets pretty tough.
I'm wondering if there is a way to set a sampling pulse based on voltage level (like when the clamping diodes close), instead of on the timeline, and look for when on the timeline the signal comes thru the .7V ceiling, instead of looking for a voltage level variance at a set point in time.
If this was possible, it might provide for a dandy method of discrimination.
Any thoughts?
gm
What got my attention was his statement that non ferrous metals speed up the decay curve while ferrous metals slow it down. According to the graph, non ferrous targets drop out below somewhere around 12 uS. I don't know how true this is but I remember reading in Reg Sniff's article on PI theory that under certain conditions gold targets can go negative signal compared to the "no target" basecurve.
Every PI design I've studied so far has sampling pulses based on the timeline, and getting a good sample below approx 10uS gets pretty tough.
I'm wondering if there is a way to set a sampling pulse based on voltage level (like when the clamping diodes close), instead of on the timeline, and look for when on the timeline the signal comes thru the .7V ceiling, instead of looking for a voltage level variance at a set point in time.
If this was possible, it might provide for a dandy method of discrimination.
Any thoughts?
gm
