Originally posted by Davor
View Post
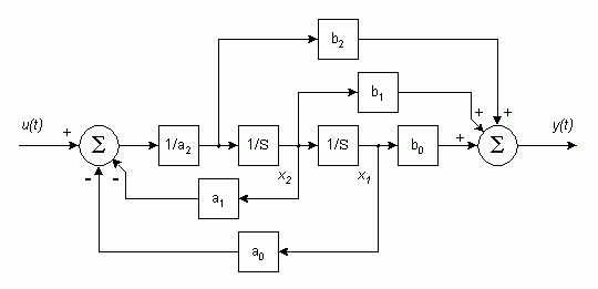
here's a simpler explanation of the paper by John Alldred:
). Just my advice .... to find the answer you must look at your CRO.
). Just my advice .... to find the answer you must look at your CRO.
).

Comment